Найти сумму первых 14

Найдите сумму первых 14 чисел арифметической прогрессии -63 -58. Найдите сумму первых шести членов геометрической прогрессии. Найдите сумму первых четырнадцати арифметической прогрессии 63. Найдите сумму первых семи членов арифметической прогрессии. Найдите сумму семи первых членов геометрической прогрессии.
Найдите сумму первых 14 чисел арифметической прогрессии -63 -58. Найдите сумму первых шести членов геометрической прогрессии. Найдите сумму первых четырнадцати арифметической прогрессии 63. Найдите сумму первых семи членов арифметической прогрессии. Найдите сумму семи первых членов геометрической прогрессии.
Найти сумму первых 14. Найти сумму первых 14. Найдите сумму первых 14 чисел арифметической прогрессии -63 -58. Формула суммы первых н членов ар пр. Формула суммы первых n членов арифметической прогрессии.
Найти сумму первых 14. Найти сумму первых 14. Найдите сумму первых 14 чисел арифметической прогрессии -63 -58. Формула суммы первых н членов ар пр. Формула суммы первых n членов арифметической прогрессии.
Нахождение членов арифметической прогрессии. Найти сумму первых 14. Записать разность арифметической прогрессии 30 28 26. Найти сумму первых 14. Найдите сумму первых 14 чисел арифметической прогрессии -63 -58.
Нахождение членов арифметической прогрессии. Найти сумму первых 14. Записать разность арифметической прогрессии 30 28 26. Найти сумму первых 14. Найдите сумму первых 14 чисел арифметической прогрессии -63 -58.
Найти сумму первых 14. Найти сумму первых 14. Найти сумму первых 14. Формула суммы первых членов арифметической прогрессии. Сумма первых 15 членов.
Найти сумму первых 14. Найти сумму первых 14. Найти сумму первых 14. Формула суммы первых членов арифметической прогрессии. Сумма первых 15 членов.
Найти сумму первых 14. Найти сумму первых 14. Сумма первых 30 членов арифметической прогрессии. Найти сумму первых 14. Найти сумму первых 14.
Найти сумму первых 14. Найти сумму первых 14. Сумма первых 30 членов арифметической прогрессии. Найти сумму первых 14. Найти сумму первых 14.
Найти сумму первых 14. Найдите сумму первых 20 чисел арифметической прогрессии. Найдите сумму первых четырнадцати арифметической прогрессии 63. Найти сумму первых 14. Найдите сумму первых тридцати членов арифметической прогрессии.
Найти сумму первых 14. Найдите сумму первых 20 чисел арифметической прогрессии. Найдите сумму первых четырнадцати арифметической прогрессии 63. Найти сумму первых 14. Найдите сумму первых тридцати членов арифметической прогрессии.
Сумма первых членов арифметической прогрессии. Сумма первых н членов арифметической прогрессии. Найти сумму первых 14. Найти сумму первых 14. Найти сумму первых 14.
Сумма первых членов арифметической прогрессии. Сумма первых н членов арифметической прогрессии. Найти сумму первых 14. Найти сумму первых 14. Найти сумму первых 14.
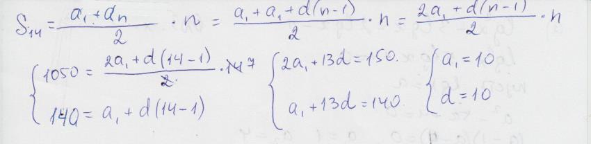
Сумма первых четырнадцати членов арифметической прогрессии равна 77. Найдите сумму первых 14 чисел арифметической прогрессии. Сумма первых n чисел арифметической прогрессии. Найти сумму первых 14. Формула суммы арифметической прогрессии первых n.
Сумма первых четырнадцати членов арифметической прогрессии равна 77. Найдите сумму первых 14 чисел арифметической прогрессии. Сумма первых n чисел арифметической прогрессии. Найти сумму первых 14. Формула суммы арифметической прогрессии первых n.
Найти сумму первых 14. Найти сумму первых трёх членов арифмитической прогрессии а1=-4 d=3. Найдите сумму первых 14 чисел арифметической прогрессии. Найдите сумму первых четырнадцати арифметической прогрессии 63 и -58. Найти сумму первых 14.
Найти сумму первых 14. Найти сумму первых трёх членов арифмитической прогрессии а1=-4 d=3. Найдите сумму первых 14 чисел арифметической прогрессии. Найдите сумму первых четырнадцати арифметической прогрессии 63 и -58. Найти сумму первых 14.
Сумма n первых членов арифметической прогрессии 9 класс. Найдите сумму первых 10 чисел арифметической прогрессии. Найдите сумму первых четырнадцати арифметической прогрессии 63. Найти сумму первых 14. Найдите сумму первых семи членов арифметической прогрессии.
Сумма n первых членов арифметической прогрессии 9 класс. Найдите сумму первых 10 чисел арифметической прогрессии. Найдите сумму первых четырнадцати арифметической прогрессии 63. Найти сумму первых 14. Найдите сумму первых семи членов арифметической прогрессии.
Найдите сумму первых четырнадцати арифметической прогрессии 63 и -58. Найти сумму первых 14. Найти сумму первых 14. Записать разность арифметической прогрессии 30 28 26. Найдите сумму первых четырнадцати арифметической прогрессии 63.
Найдите сумму первых четырнадцати арифметической прогрессии 63 и -58. Найти сумму первых 14. Найти сумму первых 14. Записать разность арифметической прогрессии 30 28 26. Найдите сумму первых четырнадцати арифметической прогрессии 63.
Найдите сумму первых четырнадцати арифметической прогрессии 63. Найдите сумму первых 14 чисел арифметической прогрессии. Найти сумму первых 14. Формула суммы первых n членов арифметической прогрессии. Записать разность арифметической прогрессии 30 28 26.
Найдите сумму первых четырнадцати арифметической прогрессии 63. Найдите сумму первых 14 чисел арифметической прогрессии. Найти сумму первых 14. Формула суммы первых n членов арифметической прогрессии. Записать разность арифметической прогрессии 30 28 26.
Найдите сумму первых 14 чисел арифметической прогрессии. Найти сумму первых 14. Найдите сумму первых 14 чисел арифметической прогрессии -63 -58. Сумма первых 30 членов арифметической прогрессии. Сумма первых 30 членов арифметической прогрессии.
Найдите сумму первых 14 чисел арифметической прогрессии. Найти сумму первых 14. Найдите сумму первых 14 чисел арифметической прогрессии -63 -58. Сумма первых 30 членов арифметической прогрессии. Сумма первых 30 членов арифметической прогрессии.
Найдите сумму первых семи членов арифметической прогрессии. Найдите сумму первых четырнадцати арифметической прогрессии 63 и -58. Найти сумму первых 14. Нахождение членов арифметической прогрессии. Сумма первых членов арифметической прогрессии.
Найдите сумму первых семи членов арифметической прогрессии. Найдите сумму первых четырнадцати арифметической прогрессии 63 и -58. Найти сумму первых 14. Нахождение членов арифметической прогрессии. Сумма первых членов арифметической прогрессии.
Найдите сумму первых четырнадцати арифметической прогрессии 63. Формула суммы первых н членов ар пр. Найти сумму первых 14. Найдите сумму первых четырнадцати арифметической прогрессии 63. Сумма первых членов арифметической прогрессии.
Найдите сумму первых четырнадцати арифметической прогрессии 63. Формула суммы первых н членов ар пр. Найти сумму первых 14. Найдите сумму первых четырнадцати арифметической прогрессии 63. Сумма первых членов арифметической прогрессии.
Найти сумму первых 14. Найти сумму первых 14. Найдите сумму первых семи членов арифметической прогрессии. Записать разность арифметической прогрессии 30 28 26. Найти сумму первых 14.
Найти сумму первых 14. Найти сумму первых 14. Найдите сумму первых семи членов арифметической прогрессии. Записать разность арифметической прогрессии 30 28 26. Найти сумму первых 14.
Найти сумму первых 14. Найдите сумму первых четырнадцати арифметической прогрессии 63. Найти сумму первых 14. Найти сумму первых 14. Найти сумму первых 14.
Найти сумму первых 14. Найдите сумму первых четырнадцати арифметической прогрессии 63. Найти сумму первых 14. Найти сумму первых 14. Найти сумму первых 14.
Сумма первых н членов арифметической прогрессии. Найдите сумму первых четырнадцати арифметической прогрессии 63. Сумма первых 15 членов. Найти сумму первых 14. Формула суммы первых н членов ар пр.
Сумма первых н членов арифметической прогрессии. Найдите сумму первых четырнадцати арифметической прогрессии 63. Сумма первых 15 членов. Найти сумму первых 14. Формула суммы первых н членов ар пр.
Найдите сумму первых 14 чисел арифметической прогрессии -63 -58. Найти сумму первых 14. Найдите сумму первых шести членов геометрической прогрессии. Найдите сумму первых семи членов арифметической прогрессии. Найти сумму первых 14.
Найдите сумму первых 14 чисел арифметической прогрессии -63 -58. Найти сумму первых 14. Найдите сумму первых шести членов геометрической прогрессии. Найдите сумму первых семи членов арифметической прогрессии. Найти сумму первых 14.
Найти сумму первых 14. Найти сумму первых 14. Найти сумму первых 14. Формула суммы первых н членов ар пр. Найти сумму первых 14.
Найти сумму первых 14. Найти сумму первых 14. Найти сумму первых 14. Формула суммы первых н членов ар пр. Найти сумму первых 14.