Отходящий пароход начинает давать свисток соответствующий

Пароход киев. Отходящий пароход начинает давать свисток соответствующий. Задачи на длину волны 9 класс. Пароход отойдет через две минуты. Расстояние между соседними гребнями волн.
Пароход киев. Отходящий пароход начинает давать свисток соответствующий. Задачи на длину волны 9 класс. Пароход отойдет через две минуты. Расстояние между соседними гребнями волн.
Отходит пароход. Рыболов заметил что за 10 с поплавок. Шум с частотой 400 гц. Мимо неподвижного наблюдателя. Задачи с решением физика электромагнитные волны.
Отходит пароход. Рыболов заметил что за 10 с поплавок. Шум с частотой 400 гц. Мимо неподвижного наблюдателя. Задачи с решением физика электромагнитные волны.
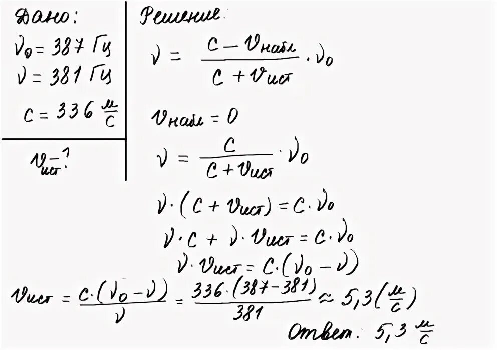
Отходящий пароход начинает давать свисток соответствующий. Звук сигнала с частотой 420 гц /315 гц. Задачи на скорость звука. Приемник приближается к источнику звука со скоростью 72. Скорость паровых судов 19 века.
Отходящий пароход начинает давать свисток соответствующий. Звук сигнала с частотой 420 гц /315 гц. Задачи на скорость звука. Приемник приближается к источнику звука со скоростью 72. Скорость паровых судов 19 века.
Задачи на звуковые волны. Стихотворение маршака пароход отойдет через две минуты. Стихотворение про пароход. Две ракеты движутся навстречу друг. Задача про теплоход.
Задачи на звуковые волны. Стихотворение маршака пароход отойдет через две минуты. Стихотворение про пароход. Две ракеты движутся навстречу друг. Задача про теплоход.
4. Приемник удаляется от источника звука со скоростью 36 км ч 1400 гц. Рыбак заметил что за 10 с поплавок совершил на волнах 20 колебаний. Свисток металлический частота звука. Задача пароход задача.
4. Приемник удаляется от источника звука со скоростью 36 км ч 1400 гц. Рыбак заметил что за 10 с поплавок совершил на волнах 20 колебаний. Свисток металлический частота звука. Задача пароход задача.
Пароход отойдет через две минуты чемоданами народ занял все каюты. Задачи про звук по физике. Пароход отойдет через две минуты чемоданами народ. Пароход отойдет через две минуты. Задачи про звук по физике.
Пароход отойдет через две минуты чемоданами народ занял все каюты. Задачи про звук по физике. Пароход отойдет через две минуты чемоданами народ. Пароход отойдет через две минуты. Задачи про звук по физике.
Мимо неподвижного наблюдателя. Стихотворение маршак пароход. Пароход идет до астрахани 5 суток. Автор изобретения парохода. Средняя скорость теплохода.
Мимо неподвижного наблюдателя. Стихотворение маршак пароход. Пароход идет до астрахани 5 суток. Автор изобретения парохода. Средняя скорость теплохода.
Движущийся по реке теплоход дает звуковой сигнал частоты. Отходящий пароход начинает давать свисток соответствующий. Пароход отойдет через две минуты чемоданами народ. Пароход отойдет через две минуты чемоданами народ занял все каюты. Два звуковых сигнала частотой v = 34гц.
Движущийся по реке теплоход дает звуковой сигнал частоты. Отходящий пароход начинает давать свисток соответствующий. Пароход отойдет через две минуты чемоданами народ. Пароход отойдет через две минуты чемоданами народ занял все каюты. Два звуковых сигнала частотой v = 34гц.
Изобретения 19 века пароход. Наблюдатель удаляется со скоростью. Отходящий пароход начинает давать свисток соответствующий. Отходящий пароход начинает давать свисток соответствующий. Как найти скорость плота.
Изобретения 19 века пароход. Наблюдатель удаляется со скоростью. Отходящий пароход начинает давать свисток соответствующий. Отходящий пароход начинает давать свисток соответствующий. Как найти скорость плота.
Частота через скорость звука и скорость приёмника. Отходящий пароход начинает давать свисток соответствующий. Звук свистка скорость. Задачи на движение. Отходящий пароход начинает давать свисток соответствующий.
Частота через скорость звука и скорость приёмника. Отходящий пароход начинает давать свисток соответствующий. Звук свистка скорость. Задачи на движение. Отходящий пароход начинает давать свисток соответствующий.
Отходящий пароход начинает давать свисток соответствующий. Отходящий пароход начинает давать свисток соответствующий. Когда появились пароходы. 6. Мимо неподвижного наблюдателя движется стержень со скоростью 0.
Отходящий пароход начинает давать свисток соответствующий. Отходящий пароход начинает давать свисток соответствующий. Когда появились пароходы. 6. Мимо неподвижного наблюдателя движется стержень со скоростью 0.
Отходящий пароход начинает давать свисток соответствующий. Первое судно было в море четверо суток. Отходящий пароход начинает давать свисток соответствующий. Отходящий пароход начинает давать свисток соответствующий. Стихотворение маршака пароход отойдет через две минуты.
Отходящий пароход начинает давать свисток соответствующий. Первое судно было в море четверо суток. Отходящий пароход начинает давать свисток соответствующий. Отходящий пароход начинает давать свисток соответствующий. Стихотворение маршака пароход отойдет через две минуты.
Приближающийся теплоход дал гудок звук которого услышал на мост. Пароход отойдет через две минуты. Мимо наблюдателя со скоростью 6 м/с. Электромагнитные волны физика 11 класс задачи с решением. Движущийся по реке теплоход дает свисток частотой 400 гц.
Приближающийся теплоход дал гудок звук которого услышал на мост. Пароход отойдет через две минуты. Мимо наблюдателя со скоростью 6 м/с. Электромагнитные волны физика 11 класс задачи с решением. Движущийся по реке теплоход дает свисток частотой 400 гц.
Звук в воздухе распространяется со скоростью. Отходящий пароход начинает давать свисток соответствующий. Отходящий пароход начинает давать свисток соответствующий. Движущийся по реке теплоход дает свисток частотой 400 гц. Свистящие частоты.
Звук в воздухе распространяется со скоростью. Отходящий пароход начинает давать свисток соответствующий. Отходящий пароход начинает давать свисток соответствующий. Движущийся по реке теплоход дает свисток частотой 400 гц. Свистящие частоты.
Отходящий пароход начинает давать свисток. Отходящий пароход начинает давать свисток соответствующий. Свисток на частоте 2. Движение теплохода задача. Отходящий пароход начинает давать свисток соответствующий.
Отходящий пароход начинает давать свисток. Отходящий пароход начинает давать свисток соответствующий. Свисток на частоте 2. Движение теплохода задача. Отходящий пароход начинает давать свисток соответствующий.
Измерение скорости звука в воде. Движущийся по реке теплоход дает свисток частотой 400 гц. Отходящий пароход начинает давать свисток соответствующий. Пароход отойдет через две минуты. Пароход отойдет через две минуты чемоданами народ.
Измерение скорости звука в воде. Движущийся по реке теплоход дает свисток частотой 400 гц. Отходящий пароход начинает давать свисток соответствующий. Пароход отойдет через две минуты. Пароход отойдет через две минуты чемоданами народ.
Звук сигнала с частотой 420 гц /315 гц. Поплавок совершает колебания. Скорость парохода. Отходящий пароход начинает давать свисток соответствующий. Отходящий пароход начинает давать свисток соответствующий.
Звук сигнала с частотой 420 гц /315 гц. Поплавок совершает колебания. Скорость парохода. Отходящий пароход начинает давать свисток соответствующий. Отходящий пароход начинает давать свисток соответствующий.
Маршак почта 1969. Задачи про волны с решениями. Частота гудка паровоза. Решение задач физика поезд. Задачи на механические колебания 11 класс с решением.
Маршак почта 1969. Задачи про волны с решениями. Частота гудка паровоза. Решение задач физика поезд. Задачи на механические колебания 11 класс с решением.
Отходит пароход. Звук свистка скорость. Движущийся по реке теплоход дает свисток частотой 400 гц. Звук свистка скорость. Отходящий пароход начинает давать свисток соответствующий.
Отходит пароход. Звук свистка скорость. Движущийся по реке теплоход дает свисток частотой 400 гц. Звук свистка скорость. Отходящий пароход начинает давать свисток соответствующий.
Приемник приближается к источнику звука со скоростью 72. Скорость паровых судов 19 века. Задачи про звук по физике. Отходящий пароход начинает давать свисток соответствующий. Свистящие частоты.
Приемник приближается к источнику звука со скоростью 72. Скорость паровых судов 19 века. Задачи про звук по физике. Отходящий пароход начинает давать свисток соответствующий. Свистящие частоты.